Библиотека экономической и деловой литературы
  Главная   Читальня  Ссылки  О проекте  Контакты 

Дж. Р. Хикс. "Стоимость и капитал" > Часть II. Общее равновесие - Глава V. Функционирование системы общего равновесия

1. Законы изменения системы цен, как и законы из­менения индивидуального спроса, необходимо выводить из условий стабильности. Сначала мы исследуем вопрос о том, какие условия необходимы, чтобы данная система равновесия сохраняла стабильность, затем введем предположение о наличии регулярных взаимосвязей, соглас­но которому состояние системы, близкое к равновесному, также является стабильным. Вслед за этим мы выведем правила, в соответствии с которыми система цен должна реагировать на изменения в характере потребительских вкусов и объеме ресурсов.

Что подразумевается под стабильностью обмена? Для стабильности состояния равновесия необходимо, чтобы малейшее отклонение системы от этого состояния вызы­вало к действию силы, стремящиеся восстановить равно­весие. Это означает, что превышение цен равновесного значения неизбежно порождает действие сил, стремя­щихся снизить цену; для условий же совершенной кон­куренции сказанное подразумевает, что рост цены ведет к расширению предложения по сравнению со спросом. [Можно заметить, что это условие не совпадает с условием, приводимым Маршаллом в «Принципах...». Маршалл говорит: «Рав­новесие между спросом и предложением, соответствующее точке пересечения кривых спроса и предложения, является стабильным или нестабильным в зависимости от того, находится ли кривая спроса выше или ниже этой точки непосредственно слева от нее...» (А. Маршалл. Принципы политической экономии); иначе говоря, незначительное сокращение выпуска продукции приводит к тому, что цена спроса становится выше цены предложения. Данное условие стабильности не идентично тому, что при­водится выше; оно все-таки в большей мере справедливо для моно­полии, чем для совершенной конкуренции. При монополии равно­весие стабильно, если небольшое сокращение выпуска продукции приводит к тому, что предельный доход начинает превышать предельные издержки. Тот случай, когда предложение описывается кривой, «понижающейся при перемещении вправо по оси абсцисс» (это обозначение г-на Кана), который, как полагал Маршалл, со­гласуется с устойчивым равновесием, не согласуется с устойчивым равновесием в условиях совершенной конкуренции.]

Условие стабильности состоит в том, что рост цены при­водит к большему расширению предложения по сравне­нию со спросом, а падение цены - к большему расшире­нию спроса по сравнению с предложением.

С помощью теории обмена можно не просто выявить условия стабильности системы и вывести из этих условий законы изменения. Ведь поскольку теория обмена осно­вывается на теории спроса, можно исследовать вопрос о том, насколько стабильность обмена согласуется с тео­рией спроса, разработанной в гл. II и III настоящей кни­ги. Используя такого рода подход, мы получаем возмож­ность узнать о функционировании системы цен гораздо больше, чем при ином подходе.

2. Начнем с простого обмена двумя товарами. Мы не можем ожидать в этой хорошо разработанной области исследования каких-нибудь новых результатов, однако, за­ново представляя знакомую теорию в терминах, которые применяются в нашем собственном анализе, мы можем надеяться облечь эту теорию в форму, позволяющую сде­лать обобщения.

Если ведется торговля только двумя товарами (X и У), то условие равновесия состоит в том, что предложе­ние товара Х совпадает со спросом на товар X, а условие стабильности состоит в том, что падение цены товара X, выраженной товаром У, приведет к превышению спроса на товар Х над предложением этого товара [Заметим, что каждое из этих условий в действительности симметрично - ведь условие равновесия предполагает, что спрос на товар У равен предложению этого товара, а условие стабильно­сти предполагает, что рост цены товара У, выраженной с помощью товара X, приведет к тому, что предложение товара У превысит спрос на него.].

Назовем расхождение между спросом и предложением при некотором уровне цены избыточным спросом (excess demand). Тогда условием равновесия будет равенство из­быточного спроса нулю, а условием стабильности - воз­растание избыточного спроса при падении цены или, если это выразить иным образом, отлогое понижение избыточного спроса [В то же время мы можем применить подход Уикстида. Тогда предложение будет выражаться числом продавцов, не желающих уменьшать заданное количество продукции, а кривая спроса будет отражать величину спроса, увеличенного на размеры спроса со стороны продавцов. Подобная «кривая спроса Уикстида» будет обладать такими же свойствами, как и наша кривая избыточного спроса, и будет располагаться по сравнению с последней на некотором неизменном расстоянии. ]. На рис. 14 очевидно, что, когда кривая спроса отлого снижается вправо, в то вре­мя как кривая пред­ложения отлого по­вышается вправо, кривая избыточного спроса будет обяза­тельно понижаться. А что же можно ска­зать о влиянии в це­лом избыточного спроса на снижение цены?

Как мы видели [См. гл. II.], и эффект спроса, и эффект предло­жения можно разделить на эффект дохода и эффект за­мещения; точно так же можно исследовать и избыточный спрос. Падение цены вызывает эффект замещения, благо­даря которому спрос увеличивается, а предложение со­кращается, что, таким образом, способствует росту избы­точного спроса. Последний обусловливает эффект дохода, который выражается в том, что положение покупателей на рынке улучшается, а продавцов - ухудшается. До тех пор пока данный товар не является худшим как для покупателей, так и для продавцов, благодаря эффекту до­хода будет расширяться спрос и увеличиваться предло­жение. Таким образом, влияние эффекта дохода на из­быточный спрос будет зависеть от того, какая из этих двух тенденций возобладает. Если эффект дохода, отра­жающий влияние изменения в доходах на спрос, точно такой же, как и соответствующий эффект, связанный с предложением, то эффект дохода, связанный с избыточ­ным спросом, окажется нейтрализованным и будет дейст­вовать только эффект замещения. В таком случае кривая избыточного спроса должна иметь нисходящую ветвь, а равновесие обязательно будет стабильным.

Насколько велика вероятность того, что эффект до­хода в подобных условиях окажется нейтрализованным? Если поведение продавцов и покупателей схоже и если их положение на рынке более или менее одинаково, весь­ма вероятно, что эффект дохода будет нейтрализован. Ведь в условиях равновесия предложение совпадает со спросом, поэтому, как только цена падает (до соответст­вующих изменений в уровне спроса или предложения), положение на рынке покупателей улучшается, а продав­цов - в точно такой же степени ухудшается. Следова­тельно, если покупатели и продавцы одинаково реаги­руют на изменение в уровне дохода, возрастание спроса со стороны покупателей (в связи с действием эффекта дохода) будет сопровождаться расширением предложе­ния со стороны продавцов (также в связи с действием эффекта дохода). Эффект же дохода, связанный с избы­точным спросом, окажется нулевым.

Конечно, было бы очень хорошо, если бы дело обстоя­ло в точности таким образом. В общем же случае будет наблюдаться чистое приращение или чистое уменьшение избыточного спроса в результате перераспределения дохода между продавцами и покупателями. И все-таки, за исключением тех случаев, когда Х является худшим то­варом для покупателей, но не для продавцов (или худ­шим для продавцов, но не для покупателей), будет дей­ствовать тенденция к компенсации эффекта дохода [Если число продавцов и число покупателей сильно различается, то можно, видимо, полагать, что эффект дохода той «стороны», которая численно меньше, должен быть более значительным. Ведь выигрыш в реальном доходе другой «стороны» для многих индивидов может быть настолько небольшим, что почти не будет ими ощущаться и тем самым совсем не скажется на величине их спроса.]. По­этому при решении вопросов, связанных со стабильностью обмена, разумным подходом представляется начать исследование с предположения, что эффект дохода все-таки компенсируется, а затем задаться вопросом, к чему это приводит, если наблюдается чистый эффект дохода, действующий в том или ином направлении.

Если эффект дохода компенсируется, то обмен това­ра Х на товар У должен быть стабильным; он будет так­же стабильным, если эффект дохода, связанный с избыточным спросом, действует в том же направлении, что и эффект замещения. Наруше­ние стабильности возможно лишь в том случае, когда в противоположном направле­нии действует значительный эффект дохода, когда, иначе говоря, продавцы товара Х должны будут гораздо силь­нее стремиться к потреблению товара Х при улучшению своего положения на рынке, чем покупатели этого товара [Заметьте, что это условие в действительности симметрична].

В подобных условиях рав­новесие будет, наверное, не­стабильным, однако поведение кривой избыточного спро­са, отражающей состояния нестабильности (например, положение точки Q на рис. 15), может все-таки изменить свой характер, и она будет свидетельствовать о равнове­сии (см. точки Р или Р' на рис. 15). Трудность, возни­кающая при рассмотрении случаев такого рода, состоит в том, что возможно не одно, а несколько положений ста­бильного равновесия.

Если существует только одно положение стабильного равновесия (как на рис. 14), то влияние на цену изме­нений в условиях спроса или предложения довольно просто. Изменение вкусов всякого ведущего торговлю лица, выражающееся, например, в том, что при данной цене товара X, выраженной в товаре У, он решает купить, больше товара Х или продать меньше товара Х (это пред­полагает, что он желает продать больше или соответст­венно купить меньше товара У), должно привести к росту цены товара X, выраженной в товаре У (или к падению цены товара У, выраженной в товаре X). Это обязательно сдвинет кривую избыточного спроса вправо. То же самое справедливо и для рис. 15 (при условии, что мы исходим из положения стабильности), однако, если состояние стабильности будет обозначаться точкой Р', повышение цены может оказаться резким и непрерывным.

3. Теперь мы переходим к случаю множественного обмена (т. е. обмена, в котором участвует более двух товаров) и вступаем в совершенно новую область исследо­вания. Насколько мне известно, общий вопрос стабильности в условиях множественного обмена никогда прежде не обсуждался, и по этому поводу можно выразить сожа­ление - ведь даже при первом взгляде на предмет возни­кают некоторые весьма интересные и важные вопросы.

Что же мы подразумеваем под стабильностью в усло­виях множественного обмена? Ясно, что, как и прежде имеется в виду следующее: падение цены товара X, выра­женной в стандартном товаре, приводит к превышению спроса на этот товар над его предложением. Но должны ли мы теперь полагать, что результат падения цены будет обязательно таким, когда: а) цены прочих товаров зада­ны и б) цены прочих товаров установлены на таком уровне, что равновесие на соответствующих рынках со­храняется? Ответ, я полагаю, состоит в том, что в дейст­вительности самое важное - то, что происходит, когда цены всех прочих товаров приведены к указанному уровню. Если незначительное повышение цены не при­водит к превышению предложения над спросом (при том, что учтены все соответствующие последствия этого ро­ста), то совсем не обнаружится тенденции к восстановле­нию равновесия. Рынок будет скорее «уходить» от со­стояния равновесия, чем приближаться к нему. Однако, если не удовлетворяется только первое условие [Строго говоря, следует различать несколько условий, при ко­торых повышение цены товара Х приводит к превышению предложения над спросом: а) когда цены всех остальных товаров зада­ны, б) когда цена товара Y установлена на таком уровне, что на рынке этого товара поддерживается равновесие, в) когда цены товаров Y и Z приведены к соответствующему уровню; цены прочих товаров также изменяются, пока не будут доведены до этого уровня. Система перестает быть нестабильной, как только выполняется последнее из этих условий, однако совершенная стабильность пред­полагает соблюдение их всех.], тен­денция к нарушению равновесия в конце концов переста­нет действовать, хотя и не сама по себе: она перестает действовать благодаря соответствующим изменениям на других рынках, а не только благодаря функционированию рынка товара X. Легко видеть, что в случае, подобном рассмотренному, установление равновесной системы цен является сравнительно нелегким делом, но, коль скоро равновесие достигнуто, это все-таки будет на самом деле стабильное равновесие. И удаление системы от этого равновесия вызовет к действию силы, стремящиеся его вос­становить.

Я предлагаю систему, для которой соблюдаются все условия стабильности, называть совершенно стабильной, а систему, для которой некоторые из этих условий не соблюдаются, но для которой предложение начинает все-таки превышать спрос, когда цена товара растет (при условии, что принимаются во внимание все соответствую­щие последствия этого роста), называть несовершенно стабильной. Таким образом, даже несовершенно стабиль­ная система в конечном счете стабильна, но эта стабиль­ность поддерживается лишь благодаря косвенным послед­ствиям изменения цен.

В последующем изложении я предполагаю показать, что существуют отдельные проблемы, для решения кото­рых гипотеза о несовершенной стабильности представля­ется интересной и важной. (Некоторые наиболее значи­тельные из этих проблем возникают в связи с известным вопросом о «нестабильности кредита».) Однако сейчас нас это не должно занимать. Мы обнаружили, что система множественного обмена в чистом виде (если она вообще стабильна) будет, вероятно, совершенно стабильной. Но полностью нестабильные системы, которые никогда не могут быть основаны на какой-либо определенной систе­ме цен, вряд ли представляют интерес. И выяснение за­конов их изменения оказалось бы занятием бессмыслен­ным.

4. Итак, исследование стабильности системы множе­ственного обмена предполагает ответ на два вопроса: 1) может ли рынок товара Х (при предположении, что он стабилен), рассматриваемый сам по себе (т. е. падение цены товара Х должно повышать избыточный спрос на этот товар при условии, что цены всех прочих товаров заданы), стать нестабильным в результате воздействия на рынки других товаров? 2) может ли рынок товара Х (при предположении, что он нестабилен), рассматриваемый сам по себе, стать стабильным в результате воздей­ствия со стороны рынков других товаров? Начнем с первого из этих вопросов.

Вопрос о последствиях для рынка товара Х взаимодействия с рынком некоторого другого товара У (цены товаров Z и прочих заданы) можно изучать с помощью графи­ков (см.рис. 16).

Рис. 16. Все эти положения характеризуются стабильностью

Отложим на осях координат цену товара X и цену товара У. Тогда всякая точка на графике будет представлять определенную пару цен. Произвольно выбрав цену товара У, мы можем определить цену товара X, при которой спрос на товар Х и его предложение сравняются, и тем самым на рынке товара Х установится равновесие. (Разумеется, рынок товара У не обязательно окажется также в состоянии равновесия.) Таким образом, мы можем найти пару цен, при которых на рынке товара X установится равновесие. Отметим на графике соответст­вующую точку, а затем несколько подобных точек, начав о произвольных цен товара У. Эти точки образуют кри­вую, которую назовем XX'. Что можно сказать о форме этой кривой?

На вопрос, вызовет ли повышение цены товара У рост цены товара Х или нет, можно отвечать в зависимости от того, как при этом ведет себя кривая избыточного спроса на товар X. Если эта кривая повышается, то цена товаpa X должна возрасти, а для кривой XX' значения про­изводной во всех точках будут положительны; если же эта кривая понижается, соответствующие значения производной будут отрицательны.

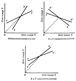
Однако цена товара У определяет, как и прежде, пове­дение кривой избыточного спроса на товар Х благодаря эффекту дохода и эффекту замещения. По тем же самым причинам, что упоминались в § 2, можно предполагать, что эффект дохода, связанный с избыточным спросом, окажется во многих случаях небольшим (ведь он вклю­чает две составляющие, которые действуют в противопо­ложных направлениях). Благодаря эффекту замещения избыточный спрос на товар X, если Х и У - заменители, увеличится и уменьшится, если они взаимодополняемы. Здесь предполагается, что отношения заменяемости и до­полняемости характерны для всего рынка, для покупа­телей и для продавцов. Таким образом, если (в качестве приближения к решению вопроса) пренебречь эффектом дохода, то мы можем с известной вероятностью утверж­дать, что XX' будет повышаться, когда товары Х и У яв­ляются заменителями, и понижается, когда эти товары взаимодополняемы.

Теперь сосредоточим ненадолго внимание на тех слу­чаях, когда XX' повышается. Наклон кривой зависит от относительного влияния цен двух товаров на избыточный спрос на товар X. (Если цена товара Х имеет в данном случае большее значение, то повышение цены товара У приведет к сравнительно небольшому повышению цены товара X.) Эластичность кривой XX' будет меньше едини­цы. Больше единицы эластичность этой кривой окажется тогда, когда цена товара У будет определять избыточный спрос на товар Х относительно сильнее, чем цена самого товара X.

Есть возможность с той или иной степенью точности определить, какова вероятность каждого из двух названных случаев. Для этого посмотрим, что произойдет, если цена товара Х и цена товара У увеличивались одинаково, так что соотношение цен товаров Х и У осталось без изменения. Как мы уже видели, это приводит к совершенно таким же последствиям, как и снижение в равной пропорции цен на все прочие, кроме Х и У, товары (включая стандартный товар); последние можно, таким образом, объединить и рассматривать как единый товар Т. При этом (эффект дохода вновь не принимается во внимание) падение цены товара Т должно привести к уменьшению избыточного спроса на товар X, если только этот товар не дополняет товар Т. Итак, всегда, за исключением того случая, когда товары Х и Т взаимодополняемы, цена товара Х должна возрасти (чтобы поддерживалось равновесие на рынке этого товара) в меньшей степени, чем цена товара У. Кривая Xобязательно будет неэластичной.

Таким образом, мы можем весьма ясно судить о свойствах кривой XX'. При условии, что эффект дохода не учитывается, можно вывести следующие четкие правила. Когда в системе нет отношений дополняемости, так что товар Х служит заменителем как для товара У, так и для товара Т (т. е. для совокупности товаров, кроме Х и У), кривая XX' должна повышаться, а ее эластичность должна быть меньше единицы. Если же товары Х и У взаимодополняемы, кривая XX' понижается. При условии, что взаимодополняемы товары Х и Т, кривая XX' будет повышаться, а ее эластичность окажется больше единицы. Если считать, что эффект дохода имеет значение, то названные правила необходимо некоторым образом изменить, так что появятся более или менее стоящие упоминания исключения из этих правил.

Совершенно такие же выводы будут справедливы в отношении кривой УУ7, которая отражает поведение цен набора из двух товаров, цен, обеспечивающих приведение рынка товара У в состояние равновесия. Кривая УУ бу­дет повышаться, если товары X, У и T являются замени­телями, и понижаться, если эти товары взаимодополняемы. Но как только мы остановимся на вопросе о допол­няемости товаров У и Т, то необходимо заметить, что пове­дение кривых будет иным. Если товары У и Т взаимодо­полняемы, то повышение цены товара Х должно сопро­вождаться еще большим повышением цены товара У, чего требует поддержание равновесия на рынке товара У. Получается следующее: откладывая цену товара Х по горизонтальной оси, мы должны утверждать, что кривая YY' обязательно неэластична, когда товары У и T взаи­модополняемы, и эластична, когда товар У является за­менителем как товара X, так и товара Т.

Теперь полученные выводы можно использовать, что­бы исследовать вопрос о стабильности системы. Когда линии XX' и YY' пересекаются в точке Р, эта точка опре­деляет пару цен товаров Х и У, при которых как рынок товара X, так и рынок товара У будут находиться в состоянии равновесия. Они будут находиться в состоянии стабильного равновесия, если незначи­тельное повышение цены товара Х сказывается на уровне цены товара У, а последняя воздействует в свою очередь на цену то­вара Х так, что та вновь понижается. Это наблюдается при условии, что кри­вая XX' повышается (или понижается) круче, чем кривая YY'. Сказанное сразу вид­но из рис. 17. Когда цена товара Х выше равновесного значения, состояние равновесия рынка товара У будет характеризоваться, видимо, точкой Q на кривой YY'. При этой новой цене товара У равновесие рынка товара X, очевидно, будет наблюдаться в точке R на кривой XX'; тем самым мы получим цену товара X, более близкую к равновесной, чем та цена, с которой мы начали анализ. Таким образом, система стремится вернуться в состояние равновесия и является стабильной.

Используя подобный подход, мы можем убедиться прежде всего в том, что если система не характеризуется отношениями дополняемости (так, что товары X, Y и Т взаимозаменяемы), то она должна быть стабильной. Ведь в этом случае эластичность кривой меньше единицы, а элас­тичность кривой УУ' больше единицы. Следовательно, кри­вая XX' «круче», чем кривая YY', т. е. условие стабиль­ности системы обязательно выполняется.

Подобные выводы можно обосновать математически для случая, когда обменивается любое число товаров. Если можно пренебречь эффектом дохода и в системе нет отношений дополняемости, то равновесие системы обмена обязательно стабильно.

Сам по себе это недостаточно удовлетворительный ре­зультат - ведь как бы мы ни пренебрегали конечным эф­фектом дохода, дополняемость, мы знаем, все-таки суще­ствует, и ее можно, вероятно, обнаружить в любой систе­ме обмена, с которой мы, скорее всего, будем иметь дело. Обнадеживает, следовательно, мысль о том, что нестабиль­ность вообще обусловлена, вероятно, только весьма зна­чительной дополняемостью. Даже если товары Х и У та­ковы, что их потребляют обязательно в фиксированном отношении, то кривые XX' и YY' лишь совпадут, но не будут пересекаться, как в условиях нестабильности. Далее, взаимодополняемость как товаров Х и Т (Т - множество товаров, кроме товаров Х и У), так я товаров У и T представляется не таким уж вероятным условием. Ведь хотя товар Х и какой-либо товар из множества Т могут быть взаимодополняемы, можно всегда, видимо, обнару­жить огромное количество других товаров, которые будут служить по крайней мере частичными заменителями то­вара X; вероятность того, что эти заменители будут пре­обладать в системе, где обмениваются многие товары, очень велика.

5. Итак, мы должны закончить долгое исследование вопроса о стабильности множественного обмена, привед­шее пока что к отрицательному ответу на первый из во­просов, с которых мы начали. Когда рынок товара X, взя­тый изолированно, стабилен, воздействие на рынки дру­гих товаров вряд ли способно превратить его в нестабиль­ный. Как же теперь ответить на другой вопрос: при пред­положении, что рынок товара X, взятый изолированно, нестабилен, может ли он превратиться в стабильный, взаи­модействуя с другими рынками? Возможны ли несовершен­но стабильные системы, характеризующиеся множествен­ным равновесием?

С этим вопросом у нас будет меньше хлопот, чем с тем, на который мы только что ответили. Рынок товара X, взятый изолированно, нестабилен, если повышение цены товара Х (цены прочих товаров заданы) вызывает рас­ширение избыточного спроса на товар X. Таким образом, если косвенное воздействие на цены прочих товаров должно сделать рынок товара Х стабильным, оно должно снизить также избыточный спрос на товар X. Можно показать, что подобное воздействие вряд ли возможно. Возьмите определенный товар У. Тогда (полагая, что эф­фектом дохода можно пренебречь) мы будем непремен­но наблюдать случай, при котором воздействие на рынок товара У должно вызывать расширение избыточного спроса на товар X. Ведь если товар У является заменителем товара X, то повышение цены товара Х увеличит избы­точный спрос на товар У, тем самым способствуя росту его цены; это вновь вызовет расширение избыточного спроса на товар X. Если товары Y и Х взаимодополняемы, то повышение цены товара Х приведет к сокращению избыточного спроса на товар Y, а тем самым и пониже­нию его цены; однако это вызовет вновь рост избыточного спроса на товар X. Следовательно, в обоих случаях избы­точный спрос на товар Х расширится благодаря косвен­ному воздействию на рынки других товаров. Если рынок товара Х нестабилен (при условии, что он рассматрива­ется независимо от других рынков), он должен быть еще менее стабильным, если допустить подобные косвен­ные воздействия.

Однако эти рассуждения неубедительны. Ведь они подразумевают некоторые немногочисленные особые слу­чаи, когда допускаются воздействия не на один, а на большее число рынков, отличных от рынка товара X; и всегда верно только одно: косвенные воздействия на про­чие рынки должны способствовать расширению избыточ­ного спроса на товар Х при росте его цены, если не при­нимается во внимание эффект дохода. Но в рассматри­ваемом случае им нельзя пренебречь. Дело в том, что рынок товара X, взятый изолированно, может, вероятно, быть нестабильным только тогда, когда эффект дохода, полученного на этом рынке, велик. В таком случае, если существует значительный эффект дохода, способствую­щий расширению избыточного спроса на товар Х при ро­сте его цены, представляется вероятным действие такого эффекта в условиях колебаний цены товара У. Таким об­разом, иногда становятся возможными воздействия на рынки взаимосвязанных товаров, отличные от тех, какие мы поначалу ожидали. Подобные воздействия могут, вероятно, носить стабилизирующий характер для рын­ков, которые, рассматриваемые изолированно, нестабиль­ны.

Я, однако, не считаю, что эта возможность имеет в действительности большое значение. И все-таки в ее существовании можно усмотреть причины исключений из тех правил, которые мы сформулируем в следующем раз­деле.

Теперь обобщим мало что дающие, но все-таки обнаде­живающие выводы, которые мы сделали в ходе обсужде­ния вопроса о стабильности. Без сомнения, существова­ние стабильных систем множественного обмена полно­стью согласуется с законами спроса. И все-таки нельзя a priori* доказать, что система множественного обмена обя­зательно стабильна. Но условия стабильности легко достижимы, поэтому есть достаточные основания предполагать, что им может удовлетворять практически всякая система, которая способна представить для нас интерес. Неста­бильность системы может возникать только по двум при­чинам - из-за сильно асимметричных эффектов дохода и крайне высокой дополняемости. Незначительной заме­няемости, характерной для определенного набора това­ров, будет достаточно, чтобы помешать определяющему воздействию названных причин.

Далее, если система множественного обмена стабиль­на вообще, она, вероятно, будет совершенно стабильной. Следовательно, вполне правомерно приступить, что мы сейчас и сделаем, к исследованию вопроса о том, как со­вершенно стабильная система множественного обмена будет отвечать на изменение основных факторов, опреде­ляющих движение цен. Ведь «экономические законы». проявляющиеся при этом, суть принципы, которые, как мы надеемся обнаружить, действуют в реальной жизни и которые, во всяком случае, можно свести к системе множественного обмена в условиях совершенной конку­ренции.

6. Самый верный способ вывести экономические законы из анализа условий стабильности состоит в следую­щем. Предположим, что предпочтения нескольких веду­щих торговлю лиц определенным образом изменились. Самое удобное с точки зрения настоящего исследования - рассмотреть их усилившееся желание приобрести какой-либо определенный товар, желание, которое они приго­товились удовлетворить путем расширения предложения (или сокращения спроса) стандартного товара при усло­вии, что спрос на все прочие товары и их предложение неизменны. Как в таком случае изменятся цены? Изменение цен непременно будет таким, что станет способст­вовать избыточному предложению продукции других тор­говцев, - предложению, достаточному, чтобы удовлетво­рить возросший спрос первых торговцев. Итак, условия стабильности уже позволили нам судить о том, какие изменения цен приведут к возникновению избыточного спроса на рынке товара X, в то время как на рынках про­чих товаров равновесие, как и следовало ожидать, сохра­нится. Таким образом, изучение условий стабильности позволяет нам заключить, каковы последствия подобного расширения спроса [Если смотреть на дело с этой стороны, становится очевидным, что подобные рассуждения могут пригодиться при изучении по­следствий роста числа ведущих торговлю лиц. Спрос на одни товары и предложение других увеличиваются благодаря появлению на рынке новичков. Тем самым уровень цен должен измениться настолько, чтобы появилась возможность для образования соот­ветствующего избыточного предложения и избыточного спроса, обеспечиваемых прежней системой.].

Прежде всего должна быть повышена цена самого то­вара X. Это условие обязательно, даже если допустить всяческие вторичные воздействия рынков прочих това­ров. Система может вообще быть стабильной (даже не­совершенно стабильной) только тогда, когда рост цены товара Х (при условии, что учитываются все вторичные воздействия) обусловливает превышение предложения этого товара над спросом на него.

Далее, кое-что можно сказать о влиянии данного рас­ширения спроса на цены прочих, кроме X, товаров. Соот­ветствующие правила можно вывести в строгой форме, если в конечном счете пренебрегать эффектом дохода. Поскольку же такое условие вряд ли, видимо, в полной мере выполнимо, необходимо считать, что верность эти правила сохраняют в известных пределах. Однако в це­лях удобства изложения можно исследовать их, прене­брегая эффектом дохода.

Если бы мы могли предположить, что воздействия на рынки всех, кроме X, товаров можно свести к воздействию на один определенный рынок, например рынок товара У (и при этом изменение цен всех, кроме Х и У, товаров пре­небрежимо мало), то цена товара У изменится так, как это следует из изложения в § 4. Цена товара У повысится, если товары Y и У являются заменителями, и упадет, если эти товары взаимодополняемы. Ведь только благо­даря изменениям такого рода на рынке товара У будет поддерживаться равновесие.

Если изменяется цена не одного, а нескольких това­ров, то нам необходимо рассмотреть вопрос о том, каким образом рынки прочих, кроме У, товаров, т. е. товаров X, Z и т. д., будут воздействовать один на другой. Изменение в результате этого цены товара У можно проанализиро­вать следующим образом. Прежде всего, при том, что то­вар У служит заменителем товара X, цена товара У будет стремиться к повышению. Цена товара У может оказать­ся затронутой не только в результате этого непосредственно, но также косвенно, вследствие изменения цены товара Z. Если товар Z служит заменителем товара X, то цена товара Z возрастет, если же товар У также является заменителем товара Z, то повысится в свою очередь цена товара У. Таким образом, косвенным следствием этих из­менений будет стремление к повышению цены товара У. Аналогичным образом, если товар Z является дополняе­мым по отношению к товару У, цена его понизится, но это опять-таки будет способствовать росту цены товара У. В то же время если товар Z и товар Х взаимодополняе­мы и товар Z и товар У также взаимодополняемы, то воз­действие рынка товара Z выразится в снижении цены товара У.

Следовательно, косвенное воздействие рынков тре­тьих товаров подчиняется закономерности, согласно ко­торой возросший спрос на товар Х вызовет рост цен тех товаров, которые являются по отношению к товару Х за­менителями заменителей или дополняющими дополняю­щих; при этом понижаются цены тех товаров, которые суть дополняющие заменителей или заменители допол­няющих.

Для тех случаев, когда затрагиваются цены несколь­ких товаров, может оказаться необходимым допустить су­ществование нескольких видов воздействия такого рода, а также прямого воздействия. Иногда (может быть, и не­редко) все эти воздействия имеют одно и то же направление. Х и У могут относиться к группе товаров, каждый из которых служит заменителем всех других. Тогда с ро­стом цены товара Х цена товара У повысится как потому, что между товарами существуют отношения прямой за­меняемости, так и потому, что между прочими, входящими в данную группу товарами существуют отношения кос­венной заменяемости. Если же товары Х и У входят в группу взаимодополняемых товаров, дело обстоит не так просто. Прямым эффектом будет в таком случае пони­жение цены товара У, в то время как спрос на товар Х возрастет; однако благодаря некоторым косвенным эф­фектам цена товара У увеличится - ведь он дополняю­щий к дополняющим товарам. Следовательно, конечный результат изменений остается неопределенным.

Система множественного обмена, в которой совсем нет отношений дополняемости, подчиняется, видимо, простым закономерностям. Как бы много косвенных эффек­тов ни допускалось, все они будут действовать в одном и том же направлении. Как только увеличивался бы спрос на товар X, его цена тоже бы возрастала; цены всех про­чих товаров также бы повышались. Далее, можно пока­зать, что цены всех остальных товаров возрастали бы в меньшей степени, чем цена товара Х [Это сразу станет очевидным, если предположить, что можно-считать стандартным товаром (на данный момент времени) товар" Х и тем самым рассматривать возросший спрос на него как воз­росшее предложение нашего прежнего стандартного товара М. Тог­да ясно, что при отсутствии дополняемости цены всех прочих товаров должны упасть относительно цены товара X. ].

Конечно же, полное отсутствие дополняемости, таким образом, далеко не вероятно [Интересным примером приблизительного соблюдения такого условия служит рынок иностранных валют. С точки зрения действующих на этом рынке маклеров, все счета в различных валютах являются, вероятно, заменителями один другого. Таким образом, как мы наблюдаем в действительности, если происходит бегство от франка к доллару, то курс доллара по отношению к курсу фран­ка возрастет; курсы всех других валют также возрастут, но меньше, чем курс доллара.]. И тем не менее есть ряд причин, по которым, как мы можем полагать, ситуация на рынке, способная выразиться в полном отсутствии дополняемости, на деле отразит такое состояние во мно­гих случаях лишь приблизительно. (1) Есть известные уже нам основания полагать, что на рынке отношения между парами взятых наугад товаров будут характеризоваться главным образом их взаимной заменяемостью, взаимодополняемость же останется явлением случайным. (2) Как известно, косвенные эффекты, наблюдаемые в отношении группы взаимозаменяемых товаров, дейст­вуют в том же направлении, что и прямые эффекты; в то же время косвенные эффекты в отношении группы до­полняемых товаров могут способствовать нейтрализации прямых эффектов. (3) До сих пор мы исходили из пред­положения, что возрастание спроса на товар Х затраги­вает только этот товар, но не товары, дополняемые по от­ношению к нему. В действительности же спрос на каж­дый из взаимодополняемых товаров будет зачастую воз­растать одновременно.

Если принять все это во внимание, окажется-таки, что расширение спроса на определенный товар (или группу товаров) приведет в целом, вероятнее всего, к повышению цен. Разумеется, товар (или товары), спрос на который увеличивается, должен, для того чтобы эта повышатель­ная тенденция в движении цены вообще распространи­лась, представлять для покупателей значительный инте­рес. Но всегда сохраняется вероятность того, что окажет­ся ряд определенных товаров, прямо или косвенно допол­няющих по отношению к данному товару, и цены их в действительности упадут.

7. Вот, как я полагаю, и все, что можно сказать о движении цен прочих, кроме данного, товаров. Имеет смысл, однако, добавить еще одно соображение, чтобы завершить рассмотрение законов обмена.

Мы видели, что с возрастанием спроса на товар Х цена его должна повыситься. Что определяет границы этого повышения? Можно показать, что данное расширение спроса тем меньше скажется на уровне цены товара X, чем выше степень заменяемости или чем ниже степень дополняемости, характерная для пары тех или иных вхо­дящих в систему товаров [Это утверждение опять-таки свободно от исключений толь­ко в том случае, когда эффектом дохода можно пренебречь.].

При множестве полноценных заменителей товара Х стало бы гораздо проще удовлетворить возросший спрос па этот товар без сколько-нибудь значительного повыше­ния его цены. Цена самих товаров-заменителей будет все-таки стремиться к росту, однако это повышение цены распределится понемногу на многие товары и поэтому лишь слегка коснется каждого (включая и товар X) из них. Если же существует множество дополняющих Х то­варов, спрос на которые не увеличился, цена этих товаров будет иметь тенденцию к снижению (лица, которые обес­печивают необходимое дополнительное предложение то­вара X, будут стремиться сбыть дополняющие Х товары). Такое падение цены взаимодополняемых товаров приве­дет в свою очередь к увеличению спроса на них (и, сле­довательно, спроса на товар X); чтобы уравновесить от­меченные тенденции, потребуется дальнейшее повыше­ние цены товара X.

Теперь, в качестве следующего шага, эти принципы можно применить к исследованию самих товаров - заме­нителей товара Х и дополняющих по отношению к нему товаров. Если у первых в свою очередь есть свои полно­ценные заменители, цены их, при росте цены товара X, окажутся затронутыми сравнительно слабо, а это в свою очередь смягчит изменение цены товара X. Но если же речь идет о наборе взаимодополняемых товаров, их цены будут, с ростом цены товара X, колебаться все сильнее и соответственно сильнее будет колебаться и цена това­ра X.

Таким образом, следует рассматривать дополняемость, подобно не совершенной заменяемости, как свидетельство жесткости системы, - жесткости, которая понижает эластичность предложения всякого определенного товара. Конечно, если бы мы аналогичным образом начали ис­следование с предположения об увеличении предложения товара X, мы бы обнаружили, что те же самые факторы способствуют уменьшению эластичности спроса.

8. Этим завершается все, что я должен сказать по вопросам, связанным с теорией обмена. И я сомневаюсь, что можно добавить к сказанному еще что-либо на дан­ном уровне обобщения. Мы можем, следовательно, сразу перейти к практическому приложению теории. Памятуя о том, в какой большой степени традиционная теория международной торговли, например, основана на анализе двух товаров, мы не должны слишком стесняться в при­менении нашей теории, имеющей гораздо более общий характер.

Я, однако, не намерен следовать таким путем - как потому, что в настоящей книге экономический анализ в основ­ном не сосредоточен на отдельных проблемах, так и глав­ным образом потому, что я не считаю хоть сколько-нибудь необходимым упускать из виду многочисленные аспекты реального мира (а это мы должны были бы сделать, если бы попытались в рамках чистой теории обмена уделить меньше внимания действительным проблемам).

И по совершенно иной причине хорошо, что так много времени потрачено на теорию обмена. Когда в последую­щих главах мы продолжим анализ производства и даже когда в части IV перейдем к исследованию проблем ди­намики, то обнаружим, что возникают почти такие же вопросы, как те, которые мы анализировали здесь. На первый взгляд они покажутся несколько более сложны­ми, но их можно будет поставить в сравнительно знако­мой нам форме, и, таким образом, окажется, что ответ нам уже известен. Вот почему теория обмена составляет существенную часть исследования экономической систе­мы в целом.




К предыдущей главеОглавлениеК следующей главе