Библиотека экономической и деловой литературы
  Главная   Читальня  Ссылки  О проекте  Контакты 

Дж. Р. Хикс. "Стоимость и капитал" > Математические приложения.

1. Цель данных приложений заключается не просто в том, чтобы выразить основные положения, содержа­щиеся в книге, с помощью математических символов - в этом я не вижу особой пользы. Если словесные (или геометрические) рассуждения убедительны, они ничего не выиграют от представления в иной форме. Чего мы мо­жем достигнуть, однако, так это уверенности в том, что наши положения обладают максимально возможной общ­ностью: доказанное для двух, трех или четырех товаров справедливо и для n товаров. В этих приложениях я со­средоточу внимание на доказательстве обоснований та­кого рода обобщений.

Я буду придерживаться того же порядка рассмотре­ния вопросов, что и в тексте книги, и буду выделять ча­сти приложений таким образом, чтобы они соответствовали главам книги, с которыми связаны. Я должен на­чать, однако, с обсуждения чисто математического утвер­ждения, которое играет основную роль в последующем изложении. Какое отношение оно имеет к делу, станет ясно почти сразу.

2. Основное математическое утверждение. (1) Одно­родную функцию второго порядка от трех переменных

ax2+ by2 + cz2 + 2fyz+ 2gzx+ 2hxy

можно записать также в следующем виде:

Так как переменные появляются только в скобках, а каж­дая скобка возведена в квадрат, сразу ясно, что исходное выражение положительно для всех действительных значений переменных, если коэффициенты при всех скоб­ках положительны, и отрицательным, если все соответст­вующие коэффициенты отрицательны. Эти коэффициенты являются отношениями определителей

Таким образом, исходное выражение будет всегда поло­жительным, если все три определителя положительны; оно будет всегда отрицательным, если первый и третий опре­делители отрицательны, а второй положителен.

(2) Такое же утверждение можно установить для произвольного числа переменных [См.: Burnside and Panto n. Theory of Equations, vol. II, p. 181-182. (По этим вопросам см. также: Р. Беллман. Введение в теорию матриц, гл. 5. М., 1976. - Прим. перев.)]. Квадратичная форма общего вида

a11x21+ a22x22+...+ annx2n + 2a12x1x2+ 2a13x1x3+...+ 2а23x2x3+...

будет положительно определена для всех действительных значений х, если определители

все положительны; она будет отрицательно определена, если они отрицательны и положительны попеременно.

(3) Когда требуется найти условия, при которых рас­смотренная выше квадратичная форма положительно или отрицательно определена не для всех значений перемен­ных, а только удовлетворяющих линейному ограничению

b1x1+ b2x2+ ...+ bnxn = 0,

то мы можем двигаться дальше, удалив одну из перемен­ных, например, x1. Квадратичная форма тогда примет сле­дующий вид:

c22x22 + c33x32 + ...+ cnnxn2 + 2с23x2x3+ ...,

где

Теперь искомые условия можно тогда записать в той же форме, что и в пункте (2) выше - с с вместо а; их можно упростить, умножить каждый определитель на отрицательную величину (-У). Например:

что получается при добавлении первых двух столбцов с соответствующими множителями к каждому из остав­шихся столбцов.

Таким образом, условие, согласно которому квадратич­ная форма положительно определена при линейном огра­ничении, состоит в том, что определители

должны быть все отрицательны (так как отрицательный множитель -b12 изменит все знаки); условие, согласно которому она отрицательно определена, состоит в том, что определители должны быть положительными и отри­цательными попеременно.

Это все, что нам нужно из чисто математических основ; теперь обратимся к экономике.

Приложение к главе I

3. Равновесие потребителя. Мы начинаем с рассмот­рения поведения индивида, который располагает фикси­рованной суммой денег М для расходов (назовем эту сум­му условно его «доходом») и имеет возможность потра­тить эту сумму на n различных товаров. Цены этих n то­варов заданы рынком. Обозначим эти цены как p1, p2, р3, ... рn. Обозначим через x1, x2, х3, ... xn количества соот­ветствующих товаров, которые индивид покупает.

Тогда, при условии, что он потратит весь свой доход, мы получим:

Предположим пока, что потребности индивида выра­жаются известной функцией полезности u (x1, х2, х3,... xn). Количество закупленных товаров будет определено из ус­ловия, согласно которому и максимальна при соблюде­нии (3.1). Это количество можно найти, вводя множитель Лагранжа р, и максимизируя выражение:

Условия равновесия потребителя состоят, следовательно, в том. что

где ur - вписано вместо θu/θxr - предельной полезности xr. Таким образом, полученное уравнение выражает ра­венство между предельной полезностью xr и ценой xr, умноженной на μ (последний множитель связывается с маршаллианским понятием предельной полезности).

Если избавиться от μ в уравнениях (3.2), то они сво­дятся к виду:

Эти n-1 уравнение вместе с уравнением (3.1) дают n уравнений для определения n количеств: х1, х2, ..., xn.

4. Условия стабильности. Чтобы функция u действительно имела максимум, необходимо, чтобы выполнялось не только du=0 (как показано выше), но и d2u<0. Рас­крывая эти выражения и обозначая как urs вторые частные производные (так же как и ur-первые), получим:

Последнее выражение является квадратичной формой, по­добной той, что мы рассмотрели в § 2 (так как usr=urs); следовательно, условие, согласно которому d2u<0 для всех значений dx1, dx2, ..., dxn, таких, что du=0 [Имеется в виду, что изменения х не должны приводить к нарушению бюджетного ограничения (3.1), т. е. Σ prdxr=0. Отсюда, с учетом (3.2), получаем, что du=Σurdxr=0. - Прим. перев.], состоит в том, что определители

должны быть положительными и отрицательными попе­ременно.

Эти определители будут играть чрезвычайно важную роль в нашем последующем анализе. Я обозначу послед­ний из них как U, а алгебраические дополнения элемен­тов ur, us, urr, urs в U - как Ur, Us, Urr, Urs. Так как n то­варов могут быть взяты в любом порядке, то из (4.1) не­посредственно следует, что Urr/U должно быть отрица­тельным.

5. Ординалистский характер полезности. Условия равно­весия и условия стабильности для индивидуального потре­бителя соответствуют предположению, что существует оп­ределенная функция полезности и. Это в действительности самый удобный способ записи таких условий. Важно лишь отметить, что они не зависят от существования какой-либо единственной функции полезности. Так, предположим, что функция полезности и заменяется на любую произвольную функцию от себя самой φ (u). Тогда можно показать, что при соблюдении единственного условия, согласно ко­торому функция φ (u) возрастает с ростом u (т. е. при ус­ловии, что φ '(u) положительна), условия равновесия и условия стабильности при замене функции полезности ни­как не изменяется.

Так как j/jxr φ (u) = φ '(u) ur то условия равновесия (3.3) останутся неизменными. Равные друг другу отношения просто помножаются на общий множитель φ '(u), который можно сократить. (Даже если они записаны в виде (3.2), они все же не изменяются, если μ заменить на φ '(u) μ. Так как μ - произвольно, то такая замена обоснованна.)

Так как (δ2/ δ xr δ xs) φ (u) =φ '(u) urs+ φ ''(u) ur us то определители из условий устойчивости преобразуются аналогичным образом.

Первый определитель превращается в

подобное преобразование можно произвести с каждым определителем в данной последовательности, r-ый определитель имеет (r+ 2) строк и столбцов; следовательно его придется помножить на множитель {φ '(u)} r+2. Так как φ '(u) предполагается положительной, ни один из определителей с введением такого множителя не изменит знак; так как именно знаки определителей связаны со стабильностью, можно считать, что соответствующие условия не изменились при замене и на φ (u).

Таким образом, если мы решим начать (что, я считаю, нам и следует сделать) не с данной функции полезности, а с данной шкалы предпочтений, нам придется лишь сосредоточить внимание на тех свойствах функций полезности, которые инвариантны относительно замены u на φ (u). Исходные условия равновесия и исходные условия стабильности, как было показано, инвариантны относительно такой замены. В остальном наша теория стоимости будет разрабатываться с использованием только инвариантных свойств, хотя, как правило, я буду остав­лять возможность самому читателю проверить инвариантность.

Приложение к главам II и III

6. Влияние увеличения дохода на спрос. Преобразуем уравнения (3.1) и (3.2), записав их в форме:

Возьмем частную производную по М:

Решая, получим

Из (6.1) находим: ps=us/μ, так что это можно записать в виде:

О знаке Ur ничего не известно, следовательно, δxr/δМ мо­жет быть как положительным, так и отрицательным. (См. гл. II.)

7. Последствия изменения цены при постоянном уров­не дохода. Предположим теперь, что рг меняется, а ос­тальные цены (а также М) неизменны. Из (6.1) имеем:

Решая и упрощая, как и прежде, получим:

Используя (6.3), это можно записать в виде:

Это уравнение, полученное первоначально Слуцким, мож­но считать Основным Уравнением Теории Стоимости. Она показывает, как изменение цены товара xr воздействует на спрос индивида на другой товар (хs); это воздействие состоит из двух частей, которые мы назвали эффектом дохода и эффектом замещения соответственно. Так как xr=dM/dpr (если М не фиксировано, а все х и все про­чие р фиксированы), то из уравнения следует, что член, соответствующий эффекту замещения, выражает воздей­ствие на спрос на товар xs изменения цены xr совместно с таким изменением дохода, которое позволило бы потре­бителю при желании купить то же самое количество то­вара, что и раньше, несмотря на изменение рr. Очевидно, что изменение дохода будет тем меньше, чем меньшую роль играет xr в бюджете потребителя.

Полагая, что r=s (а у нас нет причин, которые не позволяли бы нам так считать), то же уравнение можно использовать для разделения воздействия цены хr на спрос на сам товар xr. Уравнение примет тогда вид:

Из условий стабильности непосредственно следует, что член уравнения, соответствующий эффекту замещения, должен быть отрицательным.

8. Свойства члена, соответствующего эффекту замещения. В остальном теория спроса состоит по большей ча­сти из выявления свойств этого фундаментального урав­нения. Прежде всего, удобнее переписать его в другой форме. Член μ Urs/U, соответствующий эффекту замеще­ния, в действительности инвариантен относительно заме­ны u на φ (u) в качестве функции полезности, следова­тельно, лучше записать его в такой форме, при которой уравнение не будет иметь прямой связи с определенной функцией полезности. Поэтому я буду писать его в ней­тральной форме (xrs), так что уравнения будут иметь вид:

Это как раз такая форма, в которой нам будет наиболее удобно использовать уравнение в дальнейшем [С некоторых точек зрения (я думаю, не все так считают) есть определенный смысл в том, чтобы выражать фундаментальное уравнение в форме эластичностей, что нетрудно сделать, домножив уравнение на pr/xs, и сгруппировав полученные выражения в эле­менты, не зависящие от единиц измерения. В моей французской брошюре La Theorie mathematiqae de la Valeur (Hermann 1937) изложены по большей части последующие рассуждения, с исполь­зованием представления в форме эластичностей. Таким образом, читатель сам может сделать выбор.].

Два свойства члена уравнения, соответствующего эф­фекту замещения, сразу следуют из того, что уже сказа­но. Вначале я выпишу эти свойства, а потом выведу и некоторые другие.

(1) Так как оба определителя Urs и U симметричны по r и s, то xrs тоже симметричен. Это означает, что xsr=xrs. Таким образом, члены, соответствующие эффекту замещения в δхs/δрr и δхr/δрs, тождественны. Но члены, соответствующие эффекту дохода, вообще говоря, не рав­ны друг другу. Значит, для того чтобы δхs/δрr и δхr/δрs были равны, необходимо равенство xrδхs/δМ и xsδхr/δрr. Это предполагает, что (М/xr) δхr/δМ должно быть равно (М/xs) δхs/δМ, т. е. эластичность спроса на xr и эластичность спроса на xs по отношению к доходу должна быть одинаковой.

(2) Так как Urr/U отрицательно, а μ положительно, то xrr<0.

(3) Выражение

0Ur+ u1U1r+ u2U2r+....+ unUnr

образует определитель, у которого две строки одинаковы; следовательно, оно равно нулю. Но так как usUrs=psμUxrs=psUxrs, то из этого соотношения можно вывести соотношения между х, а именно

.

Следовательно, ΣpsXrs (по всем значениям s, кроме r) = -рrХrr. которое несомненно положительно.

(4) В нашей работе до сих пор использовались лишь два условия стабильности из всего их набора (4.1), при­чем эти два условия мы свели к одному условию, соглас­но которому Urr/U отрицательно. Что означают остальные условия стабильности? Пойдем дальше, чтобы ответить на этот вопрос.

Пусть U11, 22-алгебраическое дополнение u22 в U11; U11, 22, 33-алгебраическое дополнение u33 в U11, 22; и т. д. Тогда условия стабильности говорят о том, что

отрицательны и положительны попеременно.

Из хорошо известного свойства обратных определите­лей [См., например: Вurnside and Pantоn, II, р. 42.] следует, что

будут отрицательными и положительными попеременно.

Но это условие того, что квадратичная форма вида

отрицательна для всех значений z. (См. выше.) Помимо прочих значений, z могут оказаться равными u. Следо­вательно,

Итак,

для всех значений m, меньших n.

Таким образом, мы получили четыре правила, кото­рым должны подчиняться члены уравнения, выражаю­щие действие эффекта замещения:

для всех значений m, меньших n.

Из второго и третьего правил, взятых вместе, следует, что

а из третьего и четвертого, взятых вместе, - что

Это шестое правило можно выразить и следующим об­разом. Если разделить n товаров на две группы любым возможным способом и образовать выражение prpsxrs (здесь xr берется из одной группы, а xs - из другой), то Σ Σprpsxrs (где r и s пробегают все возможные значе­ния в своих группах) должно быть положительным.

Насколько я понимаю, это единственно важные пра­вила, которым должно соответствовать количество това­ров, приобретенных потребителем на доход. Можно заме­тить, что правило (2) является частным случаем прави­ла (4), а правило (5)-частным случаем правила (6).

9. Дополняемость. Как и в самом тексте книги, я бу­ду говорить, что два блага Xr и хs являются взаимо­заменяемыми с точки зрения определенного потребителя, если для него xrs>0, и взаимодополняемыми, если для него Xrs<0. Из правила (5) сразу следует, что хотя и воз­можно, чтобы все прочие потребляемые блага были заменителями Хr, но невозможно, чтобы все они были допол­няющими по отношению к xr. А из правила (6) следует, что есть еще одно ограничение на распространенность отношений дополняемости. Существует много способов собрать члены, соответствующие эффекту замеще­ния между парами благ, в группы, внутри которых количество пар взаимозаменяемых товаров должно перевеши­вать количество пар взаимодополняемых товаров. Из группы в n благ можно составить 1/2 n (n-1) различных пар благ; эти 1/2n (n-1) пары можно объединить в груп­пы такого типа

различными способами. 1/2n (n- 1) выражений prpsxrs (r<>s) не обязаны быть все положительными; но существует 2n-1-1 различных наборов этих выражении, суммы кото­рых должны быть положительными. Именно в этом смыс­ле заменяемость является доминирующим отношением в системе в целом.

10. Спрос на группу благ. Нам предстоит рассмотреть еще самое важное применение правила (4). Начнем с то­го, что из нашего фундаментального уравнения следует, что стоимость приращения спроса на Хs, которое вызвано данным пропорциональным изменением цены Хr, равна

Здесь рrxr - объем расходов на товар xr; ps (δхs/δМ) оп­ределяет приращение расходов на товар xs, которое было бы вызвано увеличением дохода потребителя.

Предположим теперь, что цены группы благ x1, x2, ... xm (ms (s

Стоимость приращения спроса на всю группу благ опре­деляется дальнейшим суммированием:

Это выражение идентично по форме выражению (10.1); ему можно дать соответствующую интерпретацию. Далее, так как г и s суммируются по одной и той же группе товаров, то из правила (4) следует, что член уравнения, соответствующий эффекту замещения в (10.2), обязательно будет отрицательным.

Таким образом, мы математически показали очень важный принцип, часто используемый в самой книге, что, если цены на группу благ изменяются в одной и той же пропорции, эту группу благ можно рассматривать точно так же, как если бы речь шла о единичном товаре.

11. Предложение товаров. Предположим теперь, что индивид выходит на рынок не с данной суммой денег (ко­торая не меняется при изменении цен), а с определенным количеством товара на продажу, так что сумма, которую он сам может израсходовать, зависит от уровня рыноч­ных цен. Чтобы рассмотреть общий случай, предположим, что вначале у него имеется n товаров в количестве x1, x2, ..., xn каждый. В результате торговли он будет увеличивать или уменьшать эти количества таким образом, чтобы получить, как говорилось прежде, предпочитаемый им набор благ х1, x2, ..., хn. Первое из условий равнове­сия (6.1) примет тогда следующий вид:

Это единственное изменение, которое необходимо внести в данную систему.

Оно сводится к замене М на Σ prx (cp)r, последняя вели­чина теперь зависит от уровня цен. Следовательно, диф­ференцируя уравнения, мы не можем больше считать, что δМ/δрr=0, а должны утверждать, что δМ/δрr=x (ср)r. Первое уравнение из (7.1) приобретает тогда вид:

Вместо уравнения (8.1) получим:

Это уравнение отличается от нашего исходного фунда­ментального уравнения только тем, что его член, соответ­ствующий эффекту дохода, взвешивается чистым прира­щением блага xr.

12. Рыночный спрос. Одно из самых очевидных до­стоинств нашего фундаментального уравнения заключа­ется в том, что его можно использовать непосредственно для изучения воздействия, которое изменение цепы ока­зывает на спрос со стороны группы индивидов. Если сум­мирование производится по всем членам группы, то полу­чаем:

Член уравнения, соответствующий эффекту дохода, отра­жает воздействие, которое оказывает на спрос со сторо­ны группы индивидов на товар х увеличение их дохода, если общий прирост дохода распределяется между пред­ставителями группы пропорционально их предшествующему чистому спросу на товар xr. Член уравнения, соответ­ствующий эффекту замещения, является просто суммой «индивидуальных» членов, соответствующих эффекту за­мещения; следовательно, он должен определяться по тем же правилам, по которым определяются его составные части. Если записать член уравнения, соответствующий эффекту замещения для группы индивидов Σxrs в виде Xrs, то получим совершенно аналогичные правила:

Приложение к главе IV

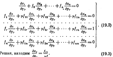
13. Равновесие обмена. Здесь необходимо лишь выра­зить классические рассуждения Вальраса в наших собст­венных терминах.

Есть N индивидов, которые выносят на рынок в раз­личных количествах n товаров и обмениваются ими в ус­ловиях совершенной конкуренции. Так как мы обозна­чаем количество r-го товара, находящееся первоначально у представительного индивида, через x (ср)r, а количество товара, которое он оставит у себя после окончания тор­говли, через xr (xr>x (ср)r, если он является покупателем то­вара и xrr, если он является продавцом), то обозначим общее количество товара, представленного на рынке все­ми индивидами вместе, через X (ср)r, а количество товара, которое у них останется - через X (ср)r.

Цены n товаров будем обозначать, как и прежде: p1, р2, ..., рn. Но необходимо помнить, что один из товаров (например, xn) придется принять за масштаб стоимости. Таким образом, рn=1. Остальные цены (p1, р2, ..., pn-1) должны быть определены.

Если система будет находиться в равновесии, то спрос на каждый товар должен равняться его предложению. Следовательно,

Хrr (r= 1, 2, 3,..., n). (13.1)

Тем самым мы получаем n уравнений, соответствую­щих n товарам; но нам предстоит определить только n-1 цен. Одно уравнение, однако, служит следствием всех остальных. Среди уравнений равновесия для репрезента­тивного индивида есть такое:

Суммируя эти уравнения по всем индивидам, получим:

Последнее уравнение должно выполняться всегда, неза­висимо от того, выполнятся ли уравнения (13.1). Следовательно, если n-1 уравнение (13.1) выполняется, то должно выполняться и n-е уравнение. Таким обра­зом, у нас есть n-1 уравнение для определения n-1 цены.

Приложение к главе V

14. Стабильность равновесия обмена. Так как значения Хг можно считать постоянными, то условия стабильности обмена можно получить из анализа знака dXr/dpr. Чтобы равновесие было совершенно стабильным, dXr/dpr должно быть отрицательным.

(1) если цены всех прочих, кроме данного, товаров не изменяются,

(2) если ps приводится в соответствие с другими цена­ми таким образом, что на рынке xs поддерживается рав­новесие, а цены остальных товаров не меняются.

(3) если ps и pt применяются аналогичным образом и т. д., пока не будут изменены соответствующим образом все цены, за исключением рr (и, конечно, рn , которая обя­зательно равна 1).

Так, третье из этих условий предполагает, что dXr/dpr отрицательно, если

Избавившись от dps/dpr и dpt/dpr, получим

Так мы получим одно из выражений, которое должно быть отрицательным, чтобы система оказалась стабиль­ной.

Если рассмотреть все такие условия вместе и учесть, что они должны выполняться для рынка каждого из то­варов xr (r=1, 2, 3, ..., n-1), то условиям стабильности можно придать более удобную форму. Необходимо, что­бы якобианы

(для всех значений r, s, t в диапазоне 1, 2, 3, ..., n-1) были отрицательны и положительны попеременно.

15. Мы знаем, что

Таким образом, когда Хrr отрицательно, условия стабиль­ности первого порядка могут не выполняться только в том случае, если значение члена, соответствующего эф­фекту дохода в приведенном выше выражении, велико и положительно. Но если приведенную выше формулу применить к группе индивидов (ко всему рынку в целом, т. е. к продавцам и покупателям вместе), то член урав­нения, соответствующий эффекту дохода, обнаружит одно своеобразное свойство. Если количество товара δхr/δМ (т. е. приращение xr), которое будет куплено в резуль­тате данного повышения дохода, окажется одинаковым для всех агентов рынка, то член уравнения, соответствую­щий эффекту дохода, примет вид: (Х (ср) rr) (δхr/δМ). Так как для состояния равновесия Хr=Х (ср) r, то член уравнения, соответствующий эффекту дохода, будет равен нулю. Сле­довательно, значение члена уравнения, соответствующего эффекту дохода, будет велико, когда покупатели и про­давцы реагируют на изменение в уровне дохода совер­шенно неодинаково. Его значение велико и положитель­но в том случае, когда продавцы склонны по мере того, как становятся богаче, увеличивать потребление товара Х r гораздо больше, чем покупатели этого товара в тех же самых обстоятельствах.

Таким образом, подобное значительное различие в поведении покупателей и продавцов является одной из воз­можных причин нарушения стабильности. Чтобы выяс­нить, могут ли существовать какие-либо другие причи­ны, предположим, что подобного несоответствия нет ни на одном рынке, так что всеми членами уравнения, со­ответствующими эффекту дохода, можно пренебречь.

Якобианы устойчивости сводятся тогда к следующему виду:

Про эти определители мы знаем, что первый из них отри­цателен. Чтобы рассмотреть определитель второго поряд­ка, преобразуем его, используя правило (3). Будет удоб­но предположить, что все прочие товары, за исключением Хm и Xs, сгруппированы вместе в составной товар Х0 (мы имеем право это делать, так как данный определитель второго порядка возникает из рассмотрения случаев, ког­да цены прочих, кроме данного, товаров предполагаются заданными). Используя правило (3) в форме

получим второе условие нестабильности в виде следую­щего выражения:

Очевидно, что это условие будет удовлетворяться, если все три пары товаров будут взаимозаменяемы; оно будет также выполняться, даже если в системе присутствует определенная дополняемость, при условии, что масштабы этой дополняемости не слишком велики.

Нетрудно с помощью метода индукции показать, что условия и более высокого порядка могут быть представ­лены аналогичным образом. Следовательно, наши рассуж­дения сохранят силу и здесь.

16. Последствия расширения спроса. Предположим, что спрос на товар xr немного увеличится. С этим вопро­сом можно разобраться, как мы делали (см. гл.V), выяснив, какие изменения цен были бы необходимы в ста­рых условиях, чтобы вызвать на рынке товара xr малое превышение предложения над спросом, если предложе­ние остается равным спросу на рынках прочих товаров (за исключением рынка товара xn, принятого за единицу масштаба стоимости, так как спрос на xr расширился за счет спроса на товар xn).

Из условий стабильности с очевидностью следует, что следует предполагать повышение цены товара xr.

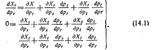
Каким будет воздействие на цены прочих товаров, можно понять из анализа уравнений (14.1). Предполо­жим вначале, что влияние повышения цены xr на все прочие цены, за исключением цены товара xs, достаточно мало и его можно не рассматривать. Тогда из второго уравнения (14.1) получаем:

следовательно,

(если членами уравнений, соответствующими эффекту дохода, можно пренебречь). Так как xss отрицательно, то цена товара xs увеличится, если товары xs и xr взаимоза­меняемы, и уменьшится, если они взаимодополняемы.

Если переписать эту формулу в виде:

(мы использовали правило (3)), то ps увеличится по срав­нению с рr в меньшей степени, за исключением случаев, когда xs и x0 находятся в отношении дополняемости).

Далее, предположим, что цены товаров хs, и xt могут существенно измениться. Тогда из второго и третьего уравнений (14.1) имеем:

(членами уравнений, соответствующими эффекту дохо­да, мы пренебрегаем). В этом выражении знаменатель положителен, что следует из условий стабильности. Первый член числителя означает, что есть прямое воздейст­вие на цену товара xs, второй член свидетельствует о опо­средованном воздействии на цену xs через цену xt. Если товар xt не взаимосвязан с хr и xs, то значение последнего члена будет, как правило, пренебрежимо мало, а форму­ла сведется к более простому виду (см. 16.1). Но если между товарами наблюдается тесная взаимосвязь, то кос­венное воздействие повышения цены xr будет осущест­вляться в соответствии с правилом «замещения взаимо­заменяемых товаров (см. гл. V).

17. Возьмем последний якобиан из всего набора опре­делителей стабильности-тот, у которого n-1 строк и столбцов, так что он включает в себя все товары, за ис­ключением товара, принятого за единицу масштаба стои­мости, и все переменные цены. Назовем его I. Пусть Irr, Irs - алгебраические дополнения δХr/δрr, δХr/δрs в I. Пусть Irr, ss, Irr, st - алгебраические дополнения δХs/δрs, δХs/δрt в Irr.

Тогда, учитывая косвенное воздействие повышения цены xr через цены всех прочих товаров, получаем (см. 14.1):

Если, пренебрегая эффектом дохода, мы уберем все элементы Хrr, Хss и т. д. при помощи третьего правила, то полученное уравнение можно рассматривать как «пре­образование» dXr/dpr в понятия эффектов замещения, дей­ствующих между парами товаров Хrs, Хst, где r<>s<>t. Что можно сказать о зависимости уравнения от этих эффек­тов замещения?

Дифференцируя (17.1) по Хst, где или s, или t (но, как очевидно, не оба вместе) может равняться r, получим:

Из нашего третьего правила следует, что δxss/δxst = -pt/ps, а из хорошо известного свойства обратных определителей - что

Используя эти свойства, мы можем продолжить диффе­ренцирование

что означает обязательный отрицательный результат. dXr/dpr неизбежно отрицательно; следовательно, мы до­казали, что абсолютная величина этого выражения будет тем больше, чем больше эффект замещения между лю­бой парой товаров в системе.

Приложение к главе VI

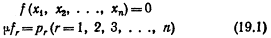
18. Равновесие фирмы. Условия равновесия. Можно считать, что фирма использует различные количества факторов y1, у2, у3, ..., ym для производства различных ко­личеств продуктов xm+1, xm+2, ..., xn. Ее цель состоит в максимизации прибыли:

при условии, что выполняется соотношение, связывающее х и у. Так как с точки зрения фирмы разница между фактором и продуктом-всего лишь разница в знаке, то для простоты мы можем рассматривать факторы как отрицательные продукты, обозначив -yr через xr (r

при соблюдении условия f(x1, x2, х3, ..., xn)=0. (Необхо­димо отметить, что функция f произвольна в том же са­мом смысле, в каком была произвольна функция полезно­сти u. Любая функция φ (f), которая равна 0, когда f рав­на 0, годится для анализа наравне с f.)

Если предположить, что фирма находится в условиях совершенной конкуренции, то задачу максимизации можно опять исследовать путем введения множителя Лагранжа и максимизации выражения V-μ f. Отсюда имеем:

d(V-μf)=0

d2(V-μf)<0.

Из первого условия мы получаем: pr=μ fr {r=1, 2, 3, ... ..., re). Если избавиться от μ , то получим n-1 уравнение, которые вместе с производственной функцией опреде­ляют n величин x1, х2, ..., Хn.

Так как V линейна, то d2V=0, следовательно, второе условие предполагает, что d2f>0, если df=0.

Преобразуя полученные выражения (так же как и в § 4, но с учетом разницы в знаке), мы получаем анало­гичный набор условий стабильности. Все определители

должны быть отрицательными. (См. 2(3).)

Будет удобно использовать обозначения, в точности аналогичные тем, которые мы применяли при рассмотре­нии теории полезности. Так, если F - последний из дан­ных определителей, то алгебраическое дополнение frs в F будет обозначаться как Frs. Условие того, что Frr/μ F поло­жительно, инвариантно относительно замены f на φ (f) в качестве производственной функции.

Приложение к главе VII

19. Равновесие фирмы. Воздействие на него изменения цены. Предположим теперь, что цена рr меняется, а цены всех остальных товаров остаются неизменными.

Уравнения равновесия выглядят следующим образом:

Продифференцируем их по:

Из вида определителей стабильности следует, что вы­ражения Frs/μ F будут подчиняться законам, очень похо­жим на те, которым подчинялись члены уравнений, соот­ветствовавшие эффекту замещения в теории полезности. Если один раз изменить знак, то эти правила можно сде­лать идентичными. Поэтому обозначим:

Соответственно, получим наше фундаментальное уравне­ние в виде

и в точности аналогичный набор правил:

Фундаментальное уравнение записано в такой форме, в которой оно выражает воздействие изменения цены (про­дукта или фактора) на предложение продукта. Чтобы вы­яснить, каким будет воздействие на величину спроса на фактор, необходимо лишь заменить xs на -ys. Фундаментальное уравнение будет тогда выглядеть следующим образом: σys / σpr = хrs. Наши правила остаются совершенно без изменений.

20. Тенденция к преобладанию отношений дополняе­мости между факторами. В теории производства, разра­ботанной в двух предыдущих разделах, неявно предпола­гается, что предприниматель обладает некоторым фикси­рованным производственным ресурсом, который ограни­чивает размеры производства и по отношению к которому прибыль V может считаться доходом. Если такого фик­сированного ресурса не существует, то у нас нет основа­ний считать, что одинаковое пропорциональное увеличе­ние всех факторов не позволит увеличить производство всех продуктов в соответствующей пропорции. С матема­тической точки зрения это будет означать, что если f (x1,x2,..., xn)=0

то f(λx1, λх2, ..., λхn)=0

для всех значений λ. Производственная функция (запи­санная, как мы ее писали, в неявной форме) будет одно­родной функцией нулевого порядка.

Тогда, по теореме Эйлера, Σxrfr=0. (Так как из 19.1 следует: pr=μfr, предполагается, что V=0.) Дифференцируя еще раз, получим fs+ Σ xrfr, s=0 (s=l, 2, 3, ..., n).

Если использовать эти тождества для преобразования определителей стабильности, то сразу станет ясно (мы умножаем 2-ой, 3-ий, ... столбцы на х1, х2... и складываем их с первым), что F (последний из определителей устой­чивости) равен нулю.

Так как х'rs=- Frs/μ F, все члены х' обращаются в беско­нечность. Цена одного фактора (или продукта) не может измениться, если не меняются цены других факторов или продуктов, чтобы равновесие не оказалось полностью на­рушенным. Если цена продукта растет, объем производ­ства будет бесконечно большим; если же цена фактора растет, его значение станет равным нулю. Для того край­него случая, который мы рассматриваем наш анализ мо­жет оказаться совсем непригодным.

Тем не менее полезно выяснить, чем определяется на­правление изменения предложения продуктов или спро­са на факторы, так как можно ожидать, что соответст­вующие законы будут верны и тогда, когда мы будем приближаться к рассмотрению крайнего случая, не до­стигая его. Для ответа на этот вопрос можно вычислить Frs, при условии, что производственная функция однород­на в нулевой степени.

Преобразуя этот определитель дважды тем же методом, который мы использовали для преобразования F, полу­чим, что он равен xrxsF0, где F0 - алгебраическое допол­нение 0 в определителе F, т. е. главный минор определи­ теля. Следовательно,

x'rs=-xrxs F0/μ F

для всех значений r и s.

Так как мы знаем, что x'rr отрицательно, то F0/μ F должно быть положительным. Если xr и хs, оба продук­ты или оба факторы, то xrxs будет положительным, a x'rs, следовательно, отрицательным. Если один из них - про­дукт, а другой - фактор, то xrxs отрицательно, a x'rs, сле­довательно, положительно.

Таким образом, по мере приближения к рассмотре­нию предельного случая, мы должны полагать, что фак­торы и продукты распадутся на две взаимодополняемые группы; в то время как «заменяемость», которая тем не менее должна доминировать в системе в целом (в системе факторов и продуктов, взятых вместе), будет обеспечиваться исключительно отношениями фактор - продукт.

Приложение к главе VIII

21. Общее равновесие производства. Теперь необходи­мо свести воедино все выводы, к которым мы пришли, и использовать их для выяснения вопроса о том, как ра­ботает вся статическая система в целом. Мы предполагаем (как и в тексте книги), что индивиды, составляющие эко­номическую систему, представляют на рынок один (или оба) из ресурсов двух видов: (1) товары или факторы, которые можно непосредственно продавать на рынке, (2) «предпринимательские» ресурсы, которые можно ис­пользовать для производства товаров на обмен, но которые сами по себе не могут быть проданы. При любой данной системе цен будут использоваться только те предприни­мательские ресурсы, использование которых принесет по­ложительную прибыль.

При данной системе цен будет наблюдаться опреде­ленный спрос на товары со стороны потребителей (со­вокупный потребительский спрос на товар Хr мы обозна­чим как Хr); будет наблюдаться предложение непосред­ственно от частных лиц (Xr); и будет наблюдаться пред­ложение только что произведенных товаров (Х'r). Рынок товара Хr будет находиться в равновесии, если

Хr=Х(ср) r+Х'r. (21.1)

Необходимо отметить, что это уравнение записано и самом общем виде; оно может использоваться по отноше­нию к товару, услуге, продукту или фактору. Если Хr - товар конечного потребления, предложение которого це­ликом обусловлено производством, то Хr=0 и уравнение приобретает вид:

Xr=X'r

Если этот фактор производства (такой как труд), то Х'r отрицательно. Хг включает в себя спрос па прямые услу­ги фактора, независимо от того, предъявляется он другими людьми или самим поставщиком фактора. (Это, видимо, самый удобный способ учитывать изменения в предложе­нии фактора). Таким образом, уравнение выглядит сле­дующим образом:

(-Х'r)+Хr =Х(ср) r.

Если Хr - полуфабрикат, который производится и потреб­ляется в ходе производства, но продается одной фирмой другой фирме, то только по этой причине X, и Х(ср)=0 и уравнение принимает вид: x'r=0.

(Чистое предложение всех фирм, взятых вместе, равно нулю.)

Таким образом, уравнение одного и того же вида под­ходит для всех товаров и услуг. Как и прежде, один из товаров должен служить масштабом измерения стоимо­сти; так что если имеется всего n товаров, то необходи­мо определить n-1 цен. Как и прежде, одно уравнение следует из остальных. Среди уравнений, задающих усло­вия равновесия частного лица, имеется следующее:

где V - прибыль, которую оно получает от обладания каким-либо предпринимательским ресурсом. Суммируя ато по всем индивидам, получаем:

где Σ V - общая сумма прибыли для всей экономики. Аналогично, для каждой фирмы:

Σ prxr =V

Суммируя эти уравнения, получаем:

следовательно:

Таким образом, если уравнения равновесия (21.1) вы­полняются для n-1 товаров, то они должны выполнять­ся и для n-го товара. Есть только n-1 независимое уравнение, и система не является переопределенной.

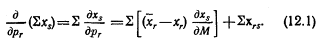
22. Стабильность общего равновесия. Как и в равно­весии обмена, для обеспечения стабильности необходимо, чтобы падение цены на любом рынке делало спрос боль­шим, чем предложение. Чтобы стабильность была совер­шенной, это условие должно выполняться, если (1) .цены всех прочих товаров постоянны, (2) цены меняются одна за другой таким образом, чтобы поддерживалось равно­весие на остальных рынках. Для несовершенной стабиль­ности необходимо, чтобы это условие выполнялось и пос­ле изменения всех прочих цен.

Данное условие можно записать в виде: d/dpr (Xr-Xr-x'r) < 0. Но так как Xr можно считать заданным неза­висимо от уровня цен, оно сводится к выражению:

Это выражение можно раскрыть, как и в разделе 14. Оно превратится в отношение двух определителей, типичный элемент которых будет выглядеть как

Мы знаем, как преобразовать последнее выражение. Из (12.1) следует:

(с учетом изменения V при изменении pr).

Из (19.4) следует, что δxs/δpr=-x'rs для каждой фирмы; таким образом, суммируя, мы получим δXs/δpr=-X'rs, где X'rs должно изменяться как и Xrs.

Следовательно, δ/ δpr (Xs-X's)= Σ (x(ср) r+x'r-xr) δxs/δM+ Xrs+X'rs. Так как движение Xrs и X'rs подчиняется од­ним и тем же правилам, то и движение Xrs+X'rs должно подчиняться тем же правилам.

Таким образом, выражение δ/ δpr (Xs-X's) изменяется так же, как и выражение δxs/δpr, которое мы рассматривали в теории обмена. Следовательно, дальнейший анализ общего равновесия производства совпадает с анализом общего равновесия обмена; все выводы разделов 15-17 можно интерпретировать в более широком смысле.

Приложение к главе XV.

23. Определение плана производства. Продолжим рас­сматривать факторы как отрицательные продукты, как это было удобно делать в теории статики. В динамике задача, стоящая перед фирмой, заключается в том, чтобы определить поток выпускаемых продуктов, который может быть произведен на имеющемся оборудовании и который будет обладать максимальной дисконтированной стоимо­стью (см. гл. XV). Если мы обозначим через xr0, xr1,..., xrv количества товара xr, которые планируется продавать в каждую последующую «неделю», начиная с нынешней, то производственная функция примет вид f(x10, x20, ..., Хn0, х11, х21, ..., xn1, x12, x22, ..., хn2, ..., x1v, x2v, ..., xnv) =0, если считать, что план распространяется вперед на v недель.

Дисконтированная стоимость плана равна

где Βt=l/(l+it), a it-ставка процента (в неделю) для ссуд сроком на t недель; рro - текущая цена xr и prt - цена, которая, как считает предприниматель, установится через t недель. (Необходимо считать, что в prt учитывает­ся риск таким образом, как это описано в тексте в гл. XV, раздел 6.)

С точки зрения индивидуального предпринимателя, в условиях совершенной конкуренции все бета и все р заданы; следовательно, несмотря на то, что эта задача кажется более сложной, с формальной точки зрения она тождест­венна задаче, рассмотренной в разделе 18. Нет не­обходимости выписывать полностью условия равновесия. Законы, показывающие, каким образом будет устанавли­ваться соответствие между планом производства и фак­тическими или ожидаемыми ценами, аналогичны тем, ко­торые получены в разделе 19. Но при записи шести пра­вил, которым должны удовлетворять члены уравнения, соответствующие эффекту замещения, мы должны не за­быть заменить pr на Β ttp rt и провести суммирование не только по всем r, но и по всем t.

Приложение к главе XVII

24. Воздействие процента на план производства. Изу­чая воздействие изменений процента на план (при условии, что цены и ценовые ожидания заданы), удобно вос­пользоваться тем свойством, что все продукты, для кото­рых дисконтированные отношения цен в рамках данной задачи можно считать заданными, можно рассматривать как один продукт. Следовательно, мы можем теперь не различать типы продуктов (и факторов), планируемых на определенную неделю, а также отказаться от учета в на­ших формулах цен в явном виде. Начиная с данного мо­мента Xt будет обозначать ожидаемую денежную оценку всех факторов и продуктов, взятых вместе, которые пла­нируются на неделю, начинающуюся через t недель - иными словами, прибыль, планируемую на рассматривае­мую неделю.

Приняв это упрощение, можно сказать, что предпри­ниматель стремится максимизировать

при условии, что f(x0, x1, .... хv) =0.

Воздействие на прибыль xt изменения ставки процента по ссудам на t' недель будет задаваться выражением

в то время как среди шести правил, которым должны подчиняться х, имеется правило (3), согласно которому

Чтобы выяснить, каким будет воздействие на при­быль xt общего изменения процентных ставок, обратим внимание на то, что

и, следовательно,

Таким образом, если дисконтирующие отношения (Р) для ссуд на все периоды изменяются в одинаковой пропор­ции, то соответствующее воздействие на xt определяется выражением:

если ставки процента в неделю для ссуд на все периоды равны и таким образом дисконтирующие множители так­же равны.

Используя (24.1), это выражение можно записать в виде:

Если последнее выражение выписать полностью, станет ясно, что его член с х'tt равен нулю. Но именно х'tt в со­ответствии с правилом (2) должен быть непременно от­рицательным; если взаимодополняемости нет, то все ос­тальные x'tt будут положительными. Это означает, что если ставка процента падает (р растет), то будет наблю­даться замещение всех прибылей, получаемых прежде xt, прибылью xt, и замещение прибыли xt всеми прибыля­ми, получаемыми позднее xt. Это обычное правило, на дело может осложняться при существовании дополняе­мости.

25. Средний период плана. Как и в главе XVII, мы определяем соответствующий средний период следующим: образом:

следовательно,

Дифференцируя по р, но считая р' постоянным в соответ­ствии с известным правилом, получим:

следовательно,

(так как если А=В, то они оба равны - (А+В).)

В последнем выражении опять все члены с t=t' авто­матически можно считать равными нулю. Следовательно, если дополняемости нет, все оставшиеся х'tt' будут положительными, и все выражение окажется положи­тельным. Падение ставки процента должно увеличи­вать продолжительность среднего периода плана. Даже если есть отношения дополняемости, остается шестое пра­вило, согласно которому Σ Σ Βt+t'xtt' >0 при t<>t'; сле­довательно, dP/dΒ может быть отрицательным, только если дополняющие пары таковы, что (t-t')2 для них велико. Это означает, что взаимодополняемые значения прибыли находятся на противоположных концах плана. Я думаю, что этот случай можно рассматривать только в качестве любопытного исключения.




К предыдущей главеОглавлениеК следующей главе