Главная   Читальня  Ссылки  О проекте  Контакты 

Альфред Маршалл "Принципы политической науки" > Математическое приложение. - Замечание XIII(кн.V гл.IV)

Используя ту же нотацию, что и в Замечании V, возьмем в качестве отправной точки во времени дату начала строительства дома и обозначим время строительства Т. Тогда настоящее значение удовольствий, которые он ожидает от дома, равно

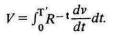
Пусть ^v - величина усилий, приложенных им к строительству дома за время ^T (интервал между моментами t и t + ^t). Тогда настоящая величина совокупных усилий равна

Если существует какая-либо неопределенность относительно количества труда, которое пойдет на строительство, то каждая возможная часть учитываемого труда должна быть помножена на вероятность его приложения w'; тогда V принимает форму

Если мы приведем отправную точку к дате завершения строительства дома, то получим

где T1 = T - T', и эта начальная точка, хотя она, возможно, менее естественна с математической точки зрения, с точки зрения обыкновенного бизнеса более естественна. Принимая ее, мы представляем V как измеренную совокупность необходимых страданий вместе с бременем ожиданий, накопленных за время от начала страданий до того момента, когда они начинают приносить плоды.

Не обязательно допущение, что представляемая функция — первого порядка — наносит определенный ущерб анализу капиталовложений у Джевонса, который еще заметнее, когда он сам, описывая работу Госсена, выдвигает возражения против собственного намерения заменить многообразные кривые, выражающие действительный характер колебаний экономических величин, прямыми линиями.




К предыдущей главеОглавлениеК следующей главе