Главная   Читальня  Ссылки  О проекте  Контакты 

Альфред Маршалл "Принципы политической науки" > Математическое приложение. - Замечание II (кн. III, гл. 3)

Если m — сумма денег или общей покупательной силы, которой располагает данное лицо в какой-то момент, а р представляет общую полезность этой суммы для него, то предельную полезность денег для данного субъекта определит (dм / dm ).

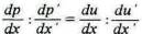
Если р - цена, которую он еще согласен уплатить за х' товара, доставляющего ему общее удовлетворение и, то

Если р' — цена, которую он еще согласен уплатить за х' другого товара, доставляющего ему общее удовлетворение u' то

и поэтому

(ср. с выводами Джевонса в 'Theory of Exchange", p. 151.).

Каждое увеличение его средств уменьшает предельную степень полезности денег для него, т. е. (d2м / dm2) всегда имеет отрицательное значение.

Следовательно, если предельная полезность для него х товара останется неизменной, то прирост, его средств увеличит (du / dx) : (dм / dm), другими словами, увеличит (dp / dx), т.е. норму, по которой он будет склонен платить за дальнейшее расширение потребления. Мы можем считать (dp / dx) функцией m, и х, и тогда получаем (d2p / dm dx ) всегда имеющее положительное значение. Разумеется, и (d2p / du dx ) также всегда положительно.




К предыдущей главеОглавлениеК следующей главе