Главная   Читальня  Ссылки  О проекте  Контакты 

Альфред Маршалл "Принципы политической науки" > Математическое приложение. - Замечание XXIII bis (кн.V гл.XIV)

Эти результаты можно легко обосновать геометрически методом Ньютона или используя хорошо известные свойства гипербол, расположенных в прямоугольной системе координат. Их можно также обосновать аналитически. Как и ранее, допустим, что у =f1 (x) — уравнение кривой спроса, у =f2 (х) — кривой предложения, что кривая монопольного дохода выражается уравнением у = f3(x) где f3(x)=f1(x)-f2(x), и уравнение кривой добавочной выгоды потребителя — у = f4 (x), где

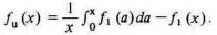
Допустим также, что для кривой совокупной выгоды существует уравнение у = fs, где

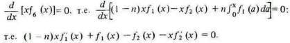
результат, который, разумеется, можно получить непосредственно. И допустим, что для кривой компромиссной выгоды существует уравнение у =f6 (x), где f6(x) =f3(x) + n * f4(x) - добавочная выгода потребителя начисляется монополистом в n-кратном размере ее действительной величины. Для нахождения OL (рис. 4 (37) в кн.V гл.XIV), т.е. объема сбыта, обеспечивающего максимальную совокупную выгоду, у нас есть уравнение

левая часть этого уравнения обязательно имеет положительное значение, поэтому положительна и правая часть, которая показывает — это всегда очевидно,— что если Lq3 пересекает кривые спроса и предложения в точках q1 и q2 соответственно, то в точке q2 кривая предложения (если она имеет отрицательный наклон) должна образовывать больший угол с вертикалью, чем кривая спроса в точке q1. Для нахождения OW, т.е. объема сбыта, обеспечивающего максимальную совокупную выгоду, мы располагаем уравнением

Для нахождения ОУ, т. е. объема сбыта, обеспечивающего максимальную и компромиссную выгоду, у нас есть уравнение

Если OL =с, условием, при котором ОУ больше ON, является положительность d/dx * [x * f6(x)] когда х заменяется с, т.е., поскольку d/dx * [x * f3(x)] = 0 когда х=с, должно быть, чтобы d/dx * [x * f4(x)] было положительным, когда х = с, т. е. f1 должно быть отрицательным. Однако это условие удовлетворяется при любом значении с. Это доказывает первый из двух результатов, приведенных в конце § 7 гл. XIV кн. V, а обоснование второго аналогично этому. (Изложение этих результатов и их обоснования молчаливо предполагает, что существует только одна точка, в которой монопольный доход достигает максимума.)

К тем, что приведены в тексте, можно добавить еще один результат. Запишем ОН = а. Тогда условием, при котором ОУ больше ОН, будет положительность d/dx * [x * f6(x)] когда а заменяется х,т. е.- поскольку f1 (a) =f2 (a), - чтобы (1 - n)/f1'(a) - f2'(a) было положительным. Но f1'(а) всегда отрицательно, поэтому условием становится отрицательность f2'(x), т.е. условие, чтобы предложение подчинялось закону возрастающей отдачи и чтобы тангенс Ф был больше, чем (1 -n)tgф, где ф и Ф - углы, образуемые Ох с кривыми спроса и предложения соответственно в точке А. Когда n = 1, единственное условие — чтобы тангенс ф был отрицательной величиной, т. е. OW больше ОН при условии, что кривая предложения имеет отрицательный наклон в точке А. Другими словами, если монополист считает прибыль потребителей равной своей собственной, он будет увеличивать производство дальше точки, в которой цена предложения (в том конкретном смысле, в котором мы используем этот термин здесь) равна цене предложения, при условии что предложение в окрестностях этой точки подчиняется закону возрастающей отдачи, но не настолько дальше, как тогда, когда предложение подчиняется закону убывающей отдачи.




К предыдущей главеОглавлениеК следующей главе