Главная   Читальня  Ссылки  О проекте  Контакты 

Альфред Маршалл "Принципы политической науки" > Математическое приложение. - Замечание IX (кн. III гл. 6).

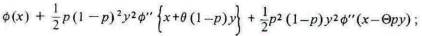
Доказательство того, что тотализатор — грубая экономическая ошибка, обычно основывается на предположениях Бернулли или им подобных. Однако оно не требует иных предпосылок, чем, во-первых, что удовольствием от азартных игр можно пренебречь, и, во-вторых, что ф" (х) имеет отрицательную величину для всех значений х, где ф(х) — удовольствие, получаемое от богатства, равного х. Это можно объяснить следующим образом. Предположим, что вероятность конкретного случая равна р и человек держит честное пари ру против (1 —р)у, что этот случай произойдет. Поступая таким образом, он изменяет свое ожидание счастья с ф(х) на р * ф( х + (1 — р) * у) + ( 1 — р ) * ф( х - р * у ).

Раскрыв это выражение согласно теореме Тейлора, получаем

предполагая, что ф" (х) отрицательно для всех значений х, приведенное выражение всегда меньше ф(х).

Конечно, эта потеря вероятного счастья не обязательно должна быть больше, чем удовольствие, которое дает волнение азарта, но мы должны вернуться тогда к тезису о том, что удовольствия от азартных игр являются, по Бентаму, "низкими", поскольку, как показывает опыт, они могут вырабатывать беспокойный, скверный характер, непригодный для постоянного труда, равно как и для более высоких и серьезных жизнен ных наслаждений.




К предыдущей главеОглавлениеК следующей главе